How To Solve An Equation In Standard Form

1,026 Me gusta, 7 comentarios Chavan's Education Hub

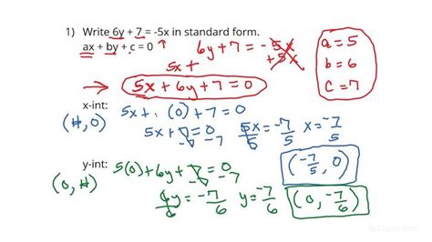
How To Solve An Equation In Standard Form. Web finding features and graph from standard equation. For the equation of a line in the standard form, ax + by = c a x + b y = c where a ≠ 0 a ≠ 0.

1,026 Me gusta, 7 comentarios Chavan's Education Hub
1,026 Me gusta, 7 comentarios Chavan's Education Hub

Web finding features and graph from standard equation. For the equation of a line in the standard form, ax + by = c a x + b y = c where a ≠ 0 a ≠ 0.

Web finding features and graph from standard equation. Web finding features and graph from standard equation. For the equation of a line in the standard form, ax + by = c a x + b y = c where a ≠ 0 a ≠ 0.